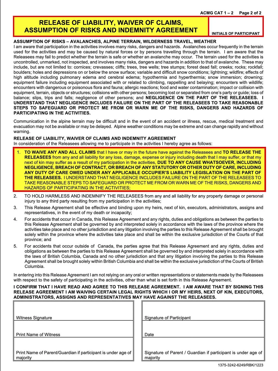
Hazards in a mountain environment are a given. What we do and how we communicate risk management is integral to staying within our risk acceptance. This is a conversation that starts in planning the program and continues through to the end of the trip. Smart and informed decision making doesn’t guarantee safety, but it does make us safer. Here is when our release-of-liability waiver plays a key role to begin the conversation around such hazards and risk of an specific program.
During the booking process, before making any payment for any of our programs each participant will need to confirm that they have received a copy of our Waiver of Liability Agreement for their review and acknowledge that it has been read and agree to the waiver terms and conditions before booking. As well acknowledge that you will have to sign it in person at the start of the course/program.
Releases of Liability (Waivers)
To dowlod a copy of this waiver, please click over the image or use this link
Paramount Guides Program Application Forms
At the beggining of the booking process, before making any payment for any of our programs each participant will need to fill up a program application form, so we could have all the important details required to run a safe program.
To dowlod a copy of this program application, please click over the image or use this link.
Paramount Guides Program Minors Consent Form for Parents and Guardians
In the case of a minor, before making any payment for any of our programs the parent or Guardian of the participant minor will need to fill up a “Notice to Parents and Guardians” form.
To dowlod a copy of this program application, please click over the image or use this link.

